• 九幺看片网站,成人看片网站,在线看片网站,免费看片免费看片

    專注檢測儀器的研發與生產打造科學儀器行業先進品牌
    全國谘詢熱線:400-885-2060
    您的位置: 首頁 > 免费看片免费看片動態 > 公司動態

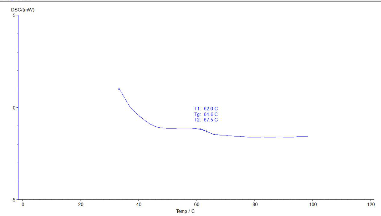
    DSC300在线看片网站在南京京錦元調試投入使用

    作者:時間:2021-08-25 次瀏覽

    信息摘要:南京九幺看片网站檢測儀器有限公司位於南京市江寧區百家湖科技產業園,是集科研、生產、銷售於一體的高科技型企業,專業從事差熱成人看片网站、在线看片网站、熱失重成人看片网站等儀器的研發、製造,產品廣泛應用於電力、煤炭、造紙、石化、農牧、醫藥科研、教學等領域,在眾多用戶中享有很好的口碑。

    感謝南京京錦元科技實業對南京九幺看片网站品牌的認可及選擇,九幺看片网站會一直做好品牌服務,為每一位客戶提供24小時在線的售後服務。


    返回列表 本文標簽:

    公司動態

    谘詢熱線

    400-885-2060
    網站地圖